- A+
球盟会官网报道
【新人豪礼】新会员专享注册送88元体验金,存100送100,再送免费游戏局
【存款返赠】使用虚拟币支付额外再赠2%,均可获赠58元红包优惠券!
最佳投注体验,超高游戏赔付,千场精彩赛事,下载体育APP,等你来战。
![]()
1. 序言
LaTeX(发音为"Lay-tech"或"Lah-tech")是一种基于TeX的高质量排版系统,特别适合科技和数学文档的排版。
基本概念
TeX与LaTeX的关系:
-
TeX是由Donald Knuth开发的底层排版系统。
-
LaTeX是Leslie Lamport在TeX基础上开发的一组宏命令,简化了TeX的使用。
主要特点:
-
专业的数学公式排版能力
-
自动编号和交叉引用
-
高质量的文档输出
-
内容与格式分离的哲学
-
开源且跨平台
附赠:
在线免费编辑器:https://www.latexlive.com/
![]()
2. 命令介绍
在提及怎么进行公式输入之前,我们先了解一下latex的命令是长什么样子的!
• 无参数命令:
主要是以 /command 的形式输入,例如:/hline
• 有n个参数命令:
主要是以 /command{parameter 1}{parameter 2}⋯⋯{parameter n} 的形式输入,
例如: /begin{equation}
• 有备选参数的命令:
主要是以 /command[arg] {parameter 1}{parameter 2}⋯⋯{parameter n} 的形式输入,例如: /sqrt[n]{x^2 + y^2}
3. 公式输入
在latex中,有多种公式输入的方式,比如说行内公式与行间公式,又或者直接使用 /begin{ } 和 /end{ } 的命令
3.1 无编号公式
无编号公式主要分为两种输入方式。
3.1.1 行内公式
嵌入在文本行中的公式,与文字在同一行显示。
常用语法:
![]()
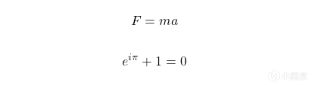
来具体看一个例子:
随机变量X的分布函数为F(X),求出它的对应的密度函数f(x)
显示效果:
![]()
3.1.2 行间公式
独立成行显示的公式,默认居中且占用单独的行。
常用语法:
![]()
来具体看一个例子:
![]()
显示效果:
![]()
3.2 有编号公式
有时我们在写论文的时候,要对公式进行编号标注,这时可以使用以下几种方式:
3.2.1 手动编号
手动编号允许用户完全自定义公式的编号,适用于特殊编号需求(如 (A1)、[Theorem 1] 等)。
适用命令
-
/tag{自定义编号}(覆盖自动编号)
-
/tag*{无括号编号}(不带括号的编号).
来具体看一个例子:
![]()
显示效果:
![]()
3.2.2 自动编号
LaTeX 的自动编号功能可以自动管理公式编号,确保编号顺序正确,并支持交叉引用(/label 和 /eqref)。
适用环境
-
equation(单行公式)
-
align(多行对齐公式)
-
gather(多行居中公式)
-
multline(长公式换行)
![]()
-
/label{eq:pythagoras} :给公式添加标签,方便后续引用。
-
/eqref{eq:pythagoras} :在正文中引用公式编号,如 公式 /eqref{eq:pythagoras}。
来具体看一个例子:
![]()
显示效果:
![]()
3.3 公式样式
3.3.1 等式对齐
当我们需要输入多个有编号的公式,并且要让它们自动对齐时,可以使用参数align
![]()
显示效果:
![]()
-
tip1: 实际上,在有些编辑工具中,直接/就能直接换行了(像jupyter notebook),并不需要使用//
-
tip2: 在latex中,不等于≠使用/neq表示,小于等于 ≤使用/leq表示,大于等于 ≥ 使用/geq表示
-
ps3: 可以看到,输入的公式被看成了一个整体,并没有分别对这些公式进行编号。
![]()
显示效果:
![]()
-
ps: 可以看到,输入的公式被分别进行编号。
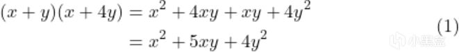
3.3.2 分开输入
当公式很长,无法在一行中显示;又或者在分步计算时,需要将公式拆分,这时可以使用split参数
![]()
显示效果:
![]()
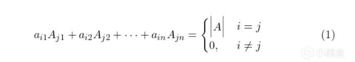
3.3.3 分类输入
当一个公式是分段函数时,就需要使用 cases 参数
![]()
显示效果:
![]()
-
ps: 如果每个情况的公式都要有编号,可以使用 numcases 参数,但是要在专门的latex套件中调用 cases 宏包
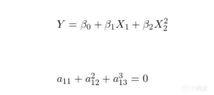
3.3.4 上下标
数学公式中的字母经常是带上标(幂/转置/导数等)和下标(矩阵元素位置/参数个数等)的,而用LaTeX解决这个问题十分简单。可以使用 ^ 表示上标,使用_表示下标。当然要值得注意的是,当上下标的有多个(2个及以上)字符时,要用 { } 括起来。
![]()
显示效果:
![]()
-
tip1: 上下标的基本语法
使用 _ 表示下标(如 /beta_0 显示为 β₀),^ 表示上标(如 X_2^2 显示为 X₂²)。上下标紧跟在基础符号后,无需空格。
-
tip2: 多字符内容的包裹
若上下标包含多个字符(如矩阵元素 a{11} 或复合上标 a{13}^3),必须用 {} 将整个下标/上标内容括起来,否则仅第一个字符生效(如 a_11会错误显示为 a₁1)。
-
tip3: 混合使用与嵌套
同一符号可同时使用上下标(如 a{12}^2),且书写顺序无关(^2{12} 或 {12}^2 均可)。复杂场景可通过嵌套 {} 实现(如 A^{T}{i,j} 显示为
![]()
)
-
tip4 :常用符号修饰
![]()
3.3.5 分式
直接使用/frac{ }{ }来表示分式,其中第一个{}表示分子,第二个{}表示分母
![]()
显示效果:
![]()
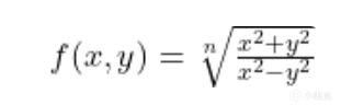
3.3.6 根式
直接使用sqrt[ ]{ }来表示分式,其中[]用来放开方的次数,{}用来放要被开方的公式
![]()
显示效果:
![]()
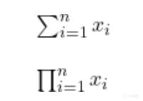
4 求和和连乘
对于连加的情况,我们通常使用 ∑ 来表示。它的使用用法也很简单,但是通常都要添加上下标,像/sum{ }^{ }形式。除了连加,我们有时也使用连乘,虽然没有连加使用得多(连乘都能通过对数写成连加),它只要以/prod{ }^{ }的形式表示。
![]()
显示效果:
![]()
-
tip1: 在 LaTeX 中,/displaystyle 是一个非常重要的数学模式切换命令,它的主要作用是 强制将行内数学公式的显示样式切换为行间公式的样式。
以下是它的详细作用和用法说明:
/sum_{i=1}^n x_i 显示为:(符号小,上下标紧凑)
/displaystyle/sum_{i=1}^n x_i 显示为:(符号变大,上下标展开)
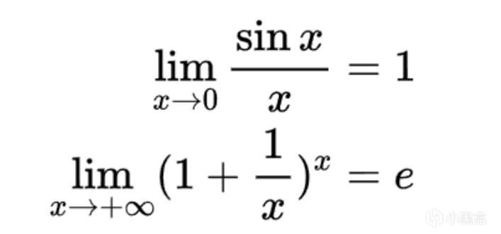
5. 极限
在 LaTeX 中,极限(Limit)的表示主要通过 /lim 命令实现,结合上下标语法来指定极限点。
![]()
显示效果:
![]()
-
tip1: 右箭头→的表示方式为/rightarrow,左箭头←的表示方式是/leftarrow
-
tip2: 正无穷 + ∞的表示方式为+/infty,负无穷 − ∞的表示方式是-/infty
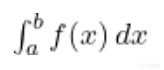
6. 积分
如果想要输入积分,则需要使用/int_{ }^{ }来表示显示效果:
![]()
显示效果:
![]()
7 常用的希腊字母
有时我们的公式里会包含一些希腊字母,而在LaTeX中,其实只要会读希腊字母基本就会写出来。下面总结一些常用的希腊字母:
![]()
8. 补充项
8.1 波浪线的表示
可以使用/sim来表示波浪线
![]()
显示效果:
![]()
8.2 求导
使用 /mathrm{d} 来表示求导符号,/partial 来表示求偏导
![]()
显示效果:
![]()
8.3 垂直和平行符号
-
垂直:使用/perp,效果为:
![]()
-
平行:可以直接用|| ,也可以使用/parallel,效果为:
![]()
8.3 把符号放在正下方
在 LaTeX 中,将符号或文本放置在正下方有多种方法,具体取决于上下文和需求。以下是两种常用方法 /underset 和 /limits
![]()
显示效果:
![]()
-
tip1: 数学运算符下标,可以使用/limits,使用场景为:求和、极限、积分等;任意文本下方,可以使用/underset,使用场景为:自定义注释、非运算符文
-
tip2: 空格符,/quad表示:1em 宽度;/qquad表示:2em 宽度
8.4 集合
![]()
显示效果:
![]()
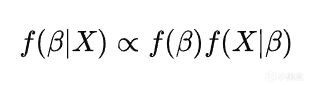
8.5 成正比
使用/propto来表示
![]()
显示效果:
![]()
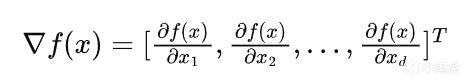
8.6 梯度
使用$nabla$来表示
/nabla f(x) = [/frac{/partial f(x)}{/partial x_1}, /frac{/partial f(x)}{/partial x_2}, ..., /frac{/partial f(x)}{/partial x_d}]^T
显示效果:
![]()
第一季完成了。后续更新最后一季!!!!
希望大家喜欢!!!!!
下注网址直达:球盟会官网
关于球盟会
球盟会与世界领先合法博彩娱乐平台系统商进行技术上合作。提供有亚洲最多元,专业,顶尖,公正,安全的线上娱乐产品服务,畅享无与伦比的游戏体验。
球盟会提供给玩家的娱乐产品丰富多样化,有多种特色老虎机任您选择。加入球盟会,畅享无与伦比的游戏体验。选择球盟会,绝对是您最明智的选择!
前往 球盟会官网
球盟会官网 最佳投注体验,超高游戏赔付,千场精彩赛事,下载球盟会APP,等你来战!,注册送88元,首存豪礼送不停,美女宝贝双飞空降,夜夜笙箫
以上内容由球盟会(www.qm-hui.com)整理发布。










